A Brief Introduction
All About reasoning
🦾 The ARC-AGI Challenge
First let us understand the what is ARC-AGI Challenge
ARC(Abstraction and Reasoning Corpus) Created by Francois Chollet ( Familiar name? Yes he is the Author of Deep Learning with Python )
So ARC-AGI presents Geometric Puzzels that is easy for Humans but hard for AI to solve
It contains 2 to 3 Input Output Demo, where AI is seeing it as an example and try to apply to new test case
So, achieving human-level performance on ARC-AGI is hard, making it one of the most important unsolved problems in AGI
It even carries Monetary Prizes 💵
🧩 The Reasoning Challenge
So, LLMs use Chain of Though, where Models “think out loud” through reasoning steps, still remain hard to solve ARC-AGI Challenge
🧠 Hierarchical Reasoning Model (HRM) : The Brain Inspired Approach
On 4th August 2025, Sapient Intelligence introduced the HRM, which they claimed different approach which is inspired by how the Human Brain Processes Information and build a new Architecture

So, they came up with NeuroScience like the Brain process Information Hierarchically across different timescales
Like, some regions handle RAPID detailed Computations and other perform SLOWER abstract reasoning
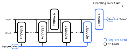
HRM mimics this with two Interconnected Recurrent Networks

Low Level Module (fL)
Which process frequently and handling detailed Computations, having Hidden State : zL
High Level Module (fH)
Which process slowly and managing Abstract Planning, having Hidden State : zH
So one full step in HRM is one Supervision Step
🔍 Deep Supervision
HRM uses Deep Supervision, like rather than making a single prediction, it iteratively refines its answer across upto 16 Supervision Steps, using previous attemps to improve the next one
✅ Adaptive Computational Time (ACT)
Before moving to the next Mini Batch each Mini Batch should must use 16 Supervision Steps, which is expensive
So there should be balance between like for some data samples there should be more Supervision Steps and for some other data samples there might be few Supervision Steps
For this there is a need to have some Halting Mechanism to determine whether the Model should terminate early
Q Learning Objective
So, here it requires doing additional Forward Pass to determine to halt now or later is preferable
They call this as Adaptive Computational Time (ACT) and they do it on Training only and during Testing they use full Nsup = 16 Steps to to Maximize the Performance
!Note : In paper Nsup = 16
May be let us see the Hierarchical Reasoning Model in in detail in another post
1 Step Gradient Approximation instead of Backpropagation Through Time (BPTT)
So, HRM will use Backpropagation to last two Function Evaluations like final fL and fH and doesn’t do BPTT
HRM Results

Although there are more debate and discussion over HRM and ARC-AGI itself tested HRM
✨ Tiny Recursive Model : Less is More
Released 6th October 2025 by Samsung
They have release the Paper to attack the HRM and they should have named Paper Title : Why Two instead of One? 😂 (JFF)
TRM Architecture

Nostalgia on Transformers 😍
About Tiny Recursive Model
While HRM was groundbreaking on ARC-AGI Benchmarks Authors of TRM, thought to not complicate for this task and they build TRM and guess what result were improved with TRM against HRM
And Authors of TRM asked why relate this to Biological argument and why two Latent Features of Hierarchies from Argument of Biology?
And they propose a Single Tiny Network replacing HRM’s two Networks with thinking like, “Iterating on Reasoning”
Simpler Interpretation
TRM do not use Biological Hierarchies like HRM do for more Intuitive
Simply,
x : The Input Question
y : The Current Proposed Solution
z : Latent Reasoning Feature
So, the Model Recursively Improve z given x, y and previous z and updates y : the solution based on improved z
Backpropagation Through Time (BPTT)
TRM use Full Backpropagation Through Time rather than 1 Step Gradient Approximation in HRM
TRM Results


📝 Notable Points
- Tiny Recursive Model use Multilayer Perceptron for the task and they too say like different Architecture works for different problems like TRM with Self Attention
- And, TRM does not use additional Forward Pass needed with ACT
🥊 Overall Differences Between HRM and TRM
| Feature | HRM | TRM |
|---|---|---|
| Architecture | Two separate networks (fL and fH) | Global Attention |
| Parameters | 27M | 7M (with Attention) / 5M (MLP) |
etc.,
📚 References
Research Papers
- [1] Wang, G., et al. (2025) https://arxiv.org/pdf/2506.21734
- [2] Jolicoeur-Martineau, A (2025) https://arxiv.org/pdf/2510.04871
###Code Repositories
HRM Official Implementation : https://github.com/sapientinc/HRM ARC-AGI Challenge https://github.com/fchollet/ARC-AGI
Thanks for reading!